Bras. Political Sci. Rev.2013;7(1):31-55.
When is statistical significance not significant?
DOI: 10.1590/1981-382171201300031
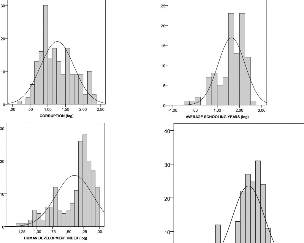
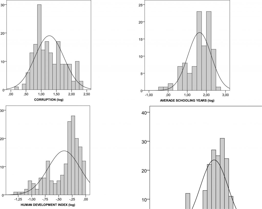
The article provides a non-technical introduction to the p value statistics. Its main purpose is to help researchers make sense of the appropriate role of the p value statistics in empirical political science research. On methodological grounds, we use replication, simulations and observational data to show when statistical significance is not significant. We argue that: (1) scholars must always graphically analyze their data before interpreting the p value; (2) it is pointless to estimate the p value for non-random samples; (3) the p value is highly affected by the sample size, and (4) it is pointless to estimate the p value when dealing with data on population.
230
