Bras. Political Sci. Rev.2012;6(2):28-55.
The Bigger, the Better: Coalitions in the GATT/WTO
DOI: 10.1590/1981-3901201200020002
Abstract:
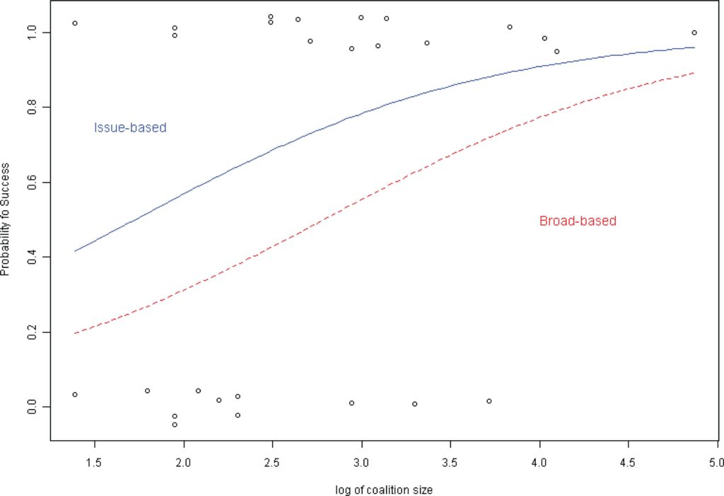
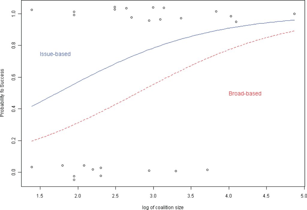
What does it take to make a coalition successful? Bigger coalitions are more likely to be successful because the GATT/WTO is a consensus-based institution and countries are informally penalized if they isolate them-selves. Through a Bayesian statistical analysis, the article corroborates the above hypothesis. To further investigate the research question, qualitative case studies of the G-10 in the Uruguay Round and the Public Health Coalition in the Doha Round are conducted. These cases show that the more convincing the framing of a position, the better are the chances of coalitions keeping a large number of followers and supporters, thereby affecting their odds of success. By building a unique database and applying a new research design to the topic, the study rigorously tests theories about coalitions that had previously only been proposed but not empirically analyzed.
43
