Bras. Political Sci. Rev.2014;8(3):141-50.
Reply on the Comments on When is Statistical Significance not Significant?
DOI: 10.1590/1981-38212014000100024
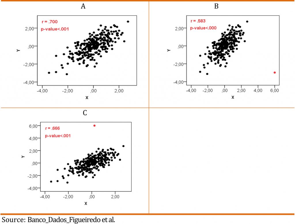
(1) Scholars must always graphically analyze their data before interpreting the p-value
In many cases, as pointed out by , graphical analysis cannot help you. That being said, ignoring graphs is a much worse path to trail. Graphical analysis is a powerful tool not only for examining linear relationships but also to identify exponential, quadratic, and cubic relationships.
Additionally, graphical analysis can be applied to more descriptive goals not related to the presence of covariates or model selection. We simulated an independent t test comparison between the heights of men and women. For both groups the distribution is normal. Men have an average of 1.75m with a standard deviation of .15. Women have an average of 1.60m with a standard deviation of .10. illustrates the data.
[…]
117
