Bras. Political Sci. Rev.2019;13(2):e0004.
Programs and Parties: Rethinking Electoral Competition Through Analysis of Brazilian ‘Grotões’
DOI: 10.1590/1981-3821201900020003
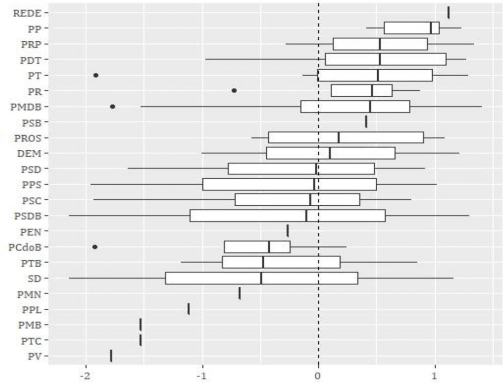
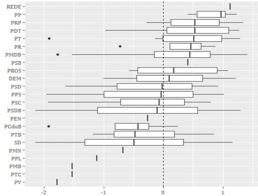
The ‘salience theory of party competition’ moves on from the ‘programmatic paradox’ imposed by the classic Downsian proximity model and demonstrates that parties compete with each other by means of the emphases they give to certain issues. They do this by leveraging their government programs to shape voter preferences that form an innate component of the electoral process. This phenomenon has been neglected in a Brazil supposedly dominated by weak parties, personality politics and clientelism. This scenario is most pronounced at a local level, particularly in the country’s so-called ‘grotões’ where the electorate is motivated by a desire to meet its basic needs, which has the effect of strengthening client relationships with political candidates. In these areas, the relevance of government programs reaches its nadir. The aim of this article is to investigate this phenomenon in Brazilian municipalities with the lowest Municipal Human Development Index (MHDI) scores. The study is underpinned by two hypotheses: 01. that government programs form an integral component of electoral competition in Brazil and 02. that they are formulated along partisan lines. In order to test these hypotheses, I have performed an analysis of the government programs registered by mayoral candidates running in 2012 and 2016, using the text analysis method that estimates political positions through word frequency (Wordfish). The results fully confirm the first hypothesis but only partly confirm the second.
Keywords: Brazil; electoral competition; government programs; Party alignment; wordfish
244
