Bras. Political Sci. Rev.2017;11(1):e0007.
Formal Comparisons of Legislative Institutions: Ideal Points from Brazilian Legislatures
DOI: 10.1590/1981-3821201700010007
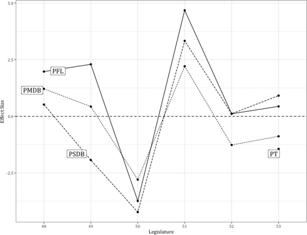
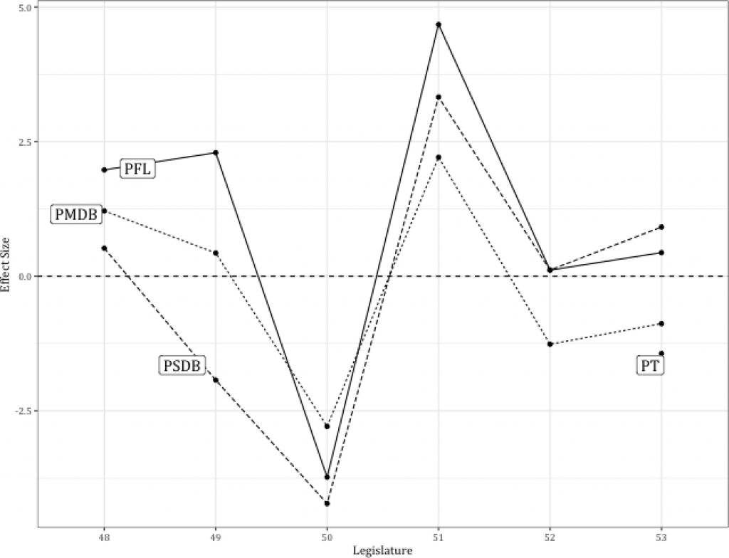
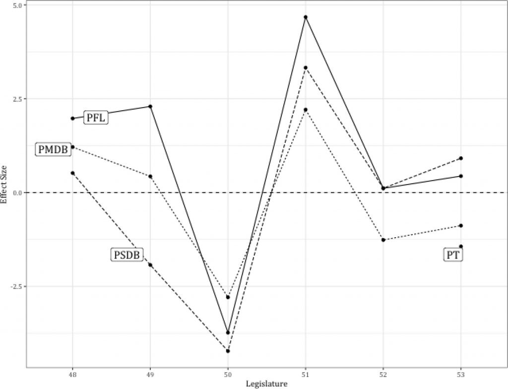
As the popularity of formal analyses of legislative activity in Latin America grows, so does the importance of understanding the limits of the estimates produced by such analyses and the methodological adaptations necessary when using these measures to make formal comparisons. This research note details the considerations involved and demonstrates their significance with an empirical example using the Brazilian Chamber of Deputies and the Federal Senate. This empirical analysis leads to conclusions that are the opposite of those in the literature, suggesting that such formal comparisons across institutions need to be made with care.
111
