Bras. Political Sci. Rev.2018;12(3):e0001.
Entries and Withdrawals: Electoral Coordination across Different Offices and the Brazilian Party Systems
DOI: 10.1590/1981-3821201800030001
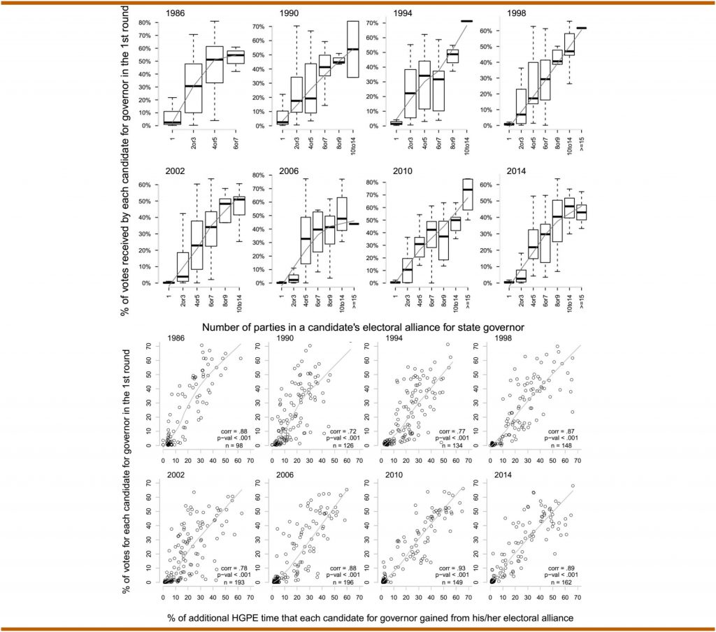
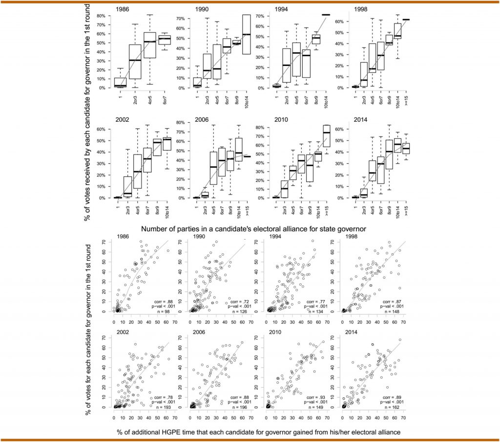
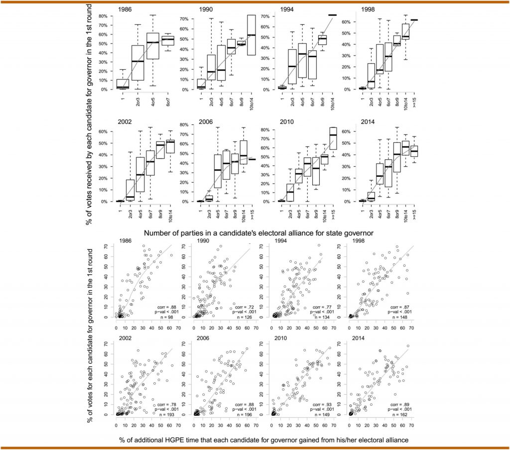
In this article, we present new data on electoral alliances (coligações) that were formed to contest Brazilian general elections between 1986 and 2014. We present evidence to show that alliances formed for gubernatorial and lower house elections are connected to one another. These joint alliances are part of complex coordination strategies for managing the entry and withdrawal of candidates for concomitant elections regulated by different rules. As we shall show, these joint strategies result in: 01. interlinked processes of party concentration in subnational executive elections, and party fragmentation in national lower-house elections; which is the result of 02. the emergence of political parties that specialize in contesting elections for different political offices.
261
